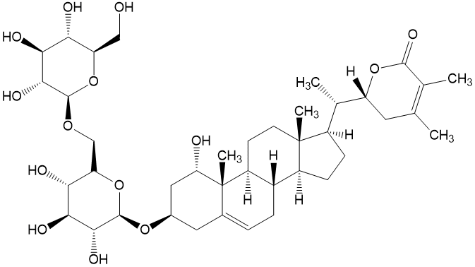
Withanoside V
CAS: 256520-90-8
CAT: 10682
Abstract
Withanoside V (CAS 256520-90-8) is a glycosylated steroidal lactone from the withanolide family. It occurs naturally in the roots and leaves of Withania somnifera (L.) Dunal, the plant commonly known as Ashwagandha or Indian ginseng.
This adaptogenic herb has held an important place in Ayurvedic traditions for centuries. People have used it to boost energy, improve mental clarity, and help the body cope with stress. Withanolides and their glycosides serve as the main active compounds that support these traditional benefits.
Withanoside V draws scientific interest for its neuroprotective and antioxidant properties. For example, it helps reduce the formation of amyloid-β fibrils.(1) This action lowers cell damage and decreases reactive oxygen species in brain cell models. In addition, it shows potential to protect neurons from toxic effects linked to Alzheimer’s disease. Moreover, studies highlight its role in lowering inflammation and supporting overall brain health when used as part of Ashwagandha extracts.
Unlike some withanolides that focus mainly on direct cell cycle effects or strong anti-inflammatory actions, Withanoside V stands out for its contribution to anti-amyloid activity and gentle neuroprotective support. It adds valuable balance to the full range of benefits found in Ashwagandha products.
As a useful marker for quality control, Withanoside V plays a key role in standardizing Ashwagandha extracts. These extracts appear widely in nutraceuticals, dietary supplements, and herbal health products. Accurate measurement ensures steady potency, uniform batches, and full compliance with industry standards.
References:
(1) Improving the inhibition of β-amyloid aggregation by withanolide and withanoside derivatives
References
Withanoside IV and its active metabolite
Compound Details
| CAS | 256520-90-8 |
|---|---|
| Molecular Weight | 766.9 g/mol |
| Chemical Formula | C₄₀H₆₂O₁₄ |
| IUPAC | (2R)-2-[(1S)-1-[(1S,3R,8S,9S,10R,13S,14S,17R)-1-hydroxy-10,13-dimethyl-3-[(2R,3R,4S,5S,6R)-3,4,5-trihydroxy-6-[[(2R,3R,4S,5S,6R)-3,4,5-trihydroxy-6-(hydroxymethyl)oxan-2-yl]oxymethyl]oxan-2-yl]oxy-2,3,4,7,8,9,11,12,14,15,16,17-dodecahydro-1H-cyclopenta[a]phenanthren-17-yl]ethyl]-4,5-dimethyl-2,3-dihydropyran-6-one |
| Synonyms | N/A |
| SMILES | CC1=C(C(=O)O[C@H](C1)[C@@H](C)[C@H]2CC[C@@H]3[C@@]2(CC[C@H]4[C@H]3CC=C5[C@@]4([C@H](C[C@@H](C5)O[C@H]6[C@@H]([C@H]([C@@H]([C@H](O6)CO[C@H]7[C@@H]([C@H]([C@@H]([C@H](O7)CO)O)O)O)O)O)O)O)C)C)C |
| Purity | 90%+ |
| Storage Temperature | Below −18°C |
| Storage Conditions | Dry, freezer |
PRICE ON REQUEST
Technical Support
Product information is from published literature. Due to the nature of scientific experimentation, results or specific product application may vary (e.g., selectivity, detector response). If you have questions about the product, its application, and associated analytics, please contact our technical support team.
Product Use Disclaimer
Products are sold as laboratory reference materials, to be used for diagnostic and in vivo testing. The samples are not certified for veterinary or human use.

















