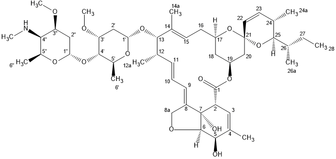
Emamectin B1a
CAS: 121124-29-6
CAT: 9668
Abstract
Emamectin B1a (CAS 121124-29-6) is the major metabolite associated with the product. Emamectins are a semi-synthetic derivative of avermectins, or more specifically of abamectin. Avermectins are a group of 16-membered macrocyclic lactone derivatives with potent anthelmintic and insecticidal properties. These naturally occurring compounds are generated as fermentation products of the soil actinomycete Streptomyces avermitilis. Abamectins are converted to emamectins through the substation of the oxygen at the 4″ position with a a methylamino group. The resulting structures are labeled as “4″-deoxy-4″-methylamino-avermectin B1”. The modification enhances the potency and stability. The product most often is in the form of a benzoate salt, further improving stability and shelf life.
In invertebrates, emamectins effect the nerve and muscle cells by enhancing the effects of glutamate and the glutamate-gated chloride channel. This results in an in influx of chloride ions and subsequent paralysis of the invertebrate.
In addition to the major metabolites like Emamectin B1a and Emamectin B1b, Planta Analytica also carries various impurities and fate metabolites. View the related products here.
References
Withanoside IV and its active metabolite
Compound Details
| CAS | 121124-29-6 |
|---|---|
| Molecular Weight | 886.1 |
| Chemical Formula | C₄₉H₇₅NO₁₃ |
| IUPAC | (1'R,2R,3S,4'S,6S,8'R,10'E,12'S,13'S,14'E,16'E,20'R,21'R,24'S)-2-[(2S)-butan-2-yl]-21',24'-dihydroxy-12'-[(2R,4S,5S,6S)-4-methoxy-5-[(2S,4S,5R,6S)-4-methoxy-6-methyl-5-(methylamino)oxan-2-yl]oxy-6-methyloxan-2-yl]oxy-3,11',13',22'-tetramethylspiro[2,3-dihydropyran-6,6'-3,7,19-trioxatetracyclo[15.6.1.14,8.020,24]pentacosa-10,14,16,22-tetraene]-2'-one |
| Synonyms | UNII-IX4GP7848F |
| SMILES | CC[C@H](C)[C@@H]1[C@H](C=C[C@@]2(O1)C[C@@H]3C[C@H](O2)C/C=C(/[C@H]([C@H](/C=C/C=C/4\CO[C@H]5[C@@]4([C@@H](C=C([C@H]5O)C)C(=O)O3)O)C)O[C@H]6C[C@@H]([C@H]([C@@H](O6)C)O[C@H]7C[C@@H]([C@@H]([C@@H](O7)C)NC)OC)OC)\C)C |
| Purity | N/A |
| Storage Temperature | Below −18°C |
| Storage Conditions | Dry, freezer |
$0.00 - $89.00 / milligram
| Range (milligram) | Price ($/milligram) |
|---|---|
| 5 - 24 milligram | $89.00 / milligram |
| 25 - 99 milligram | $78.00 / milligram |
| 100 - 249 milligram | Price on Request |
| 250 - 1000 milligram | Price on Request |
Technical Support
Product information is from published literature. Due to the nature of scientific experimentation, results or specific product application may vary (e.g., selectivity, detector response). If you have questions about the product, its application, and associated analytics, please contact our technical support team.
Product Use Disclaimer
Products are sold as laboratory reference materials, to be used for diagnostic and in vivo testing. The samples are not certified for veterinary or human use.

















