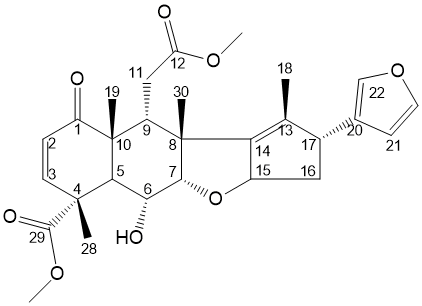
6-deacetylnimbin
CAS: 18609-16-0
CAT: 5058
Abstract
Azadirachta indica is commonly referred to as the neem tree or simply neem. It serves as a rich source for triterpenoids (limonoids). Limonoids are of profound interest to humans due to their diverse medicinal properties, including antioxidant, anti-inflammatory, and anticancer activities. 6-deacetylnimbin (CAS 18609-16-0) is a naturally occurring metabolite isolated from A. indica. It is one of the 11 major limonoids found in neem extracts. Oils extracted from neem fruits and seeds are used as one of the most popular natural insecticides, miticides, and fungicides. Moreover, in traditional medicine, all parts of the neem tree were utilized for treatment of inflammation, infections, fevers, skin diseases, and dental disorders.
Neem reference standards are broken up into two classes, azadirachtin and non-azadirachtin neem limonoids. The list of the most common standards includes: Azadirachtin A, Azadirachtin B, Azadirachtin D, Azadirachtin H, Azadiradione, 14,15 Epoxyazadiradione, Nimbin, Salannin, 3-deacaetylsalnnin, 6-deacetylnimbin, and Ohchinolide. You can follow this link for our entire collection of neem reference standards.
References
Withanoside IV and its active metabolite
Compound Details
| CAS | 18609-16-0 |
|---|---|
| Molecular Weight | 498.6 g/mol |
| Chemical Formula | C₂₈H₃₄O₈ |
| IUPAC | methyl (1S,2R,3R,4R,8R,9S,10R,13R,15R)-13-(furan-3-yl)-2-hydroxy-9-(2-methoxy-2-oxoethyl)-4,8,10,12-tetramethyl-7-oxo-16-oxatetracyclo[8.6.0.03,8.011,15]hexadeca-5,11-diene-4-carboxylate |
| Synonyms | Deacetylnimbin; Desacetylnimbin |
| SMILES | CC1=C2[C@@H](C[C@H]1C3=COC=C3)O[C@H]4[C@@]2([C@@H]([C@@]5([C@@H]([C@H]4O)[C@](C=CC5=O)(C)C(=O)OC)C)CC(=O)OC)C |
| Purity | 95%+ |
| Storage Temperature | Below -18 degrees C |
| Storage Conditions | Dry, freezer |
Product Documents
$0.00 - $162.00 / milligram
| Range (milligram) | Price ($/milligram) |
|---|---|
| 5 - 24 milligram | $162.00 / milligram |
| 25 - 99 milligram | $150.00 / milligram |
| 100 - 249 milligram | $138.00 / milligram |
| 250 - 499 milligram | Price on Request |
| 500 - 1000 milligram | Price on Request |
Technical Support
Product information is from published literature. Due to the nature of scientific experimentation, results or specific product application may vary (e.g., selectivity, detector response). If you have questions about the product, its application, and associated analytics, please contact our technical support team.
Product Use Disclaimer
Products are sold as laboratory reference materials, to be used for diagnostic and in vivo testing. The samples are not certified for veterinary or human use.








