Amino avermectin B1a
CAS: 121064-68-4
CAT: 10072
Abstract
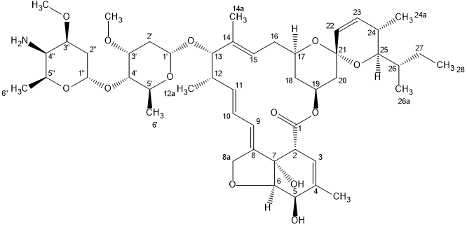
Amino Avermectin B1a is a high purity reference standard used in residue analysis, method development, and environmental fate studies. As a member of the avermectin family of 16 membered macrocyclic lactones, it provides a relevant comparator for avermectin and emamectin profiling programs.
Produced through Streptomyces avermitilis fermentation, the compound retains the natural macrocyclic scaffold with a 4 double prime amino, 4 double prime deoxy substitution on the sugar group. This modification makes it useful for tracking transformation pathways and confirming impurity identities in complex matrices.
Its structural similarity to commercial avermectins supports laboratories developing selective and reliable analytical methods. In invertebrates, avermectin class compounds act on glutamate gated chloride channels, increasing chloride influx and disrupting neurotransmission. This mode of action underlines the need for accurate profiling of related compounds in environmental evaluations.
Related avermectin and emamectin standards, impurities, and metabolites are available to support QC and comparability studies. View the related products here.
References
Withanoside IV and its active metabolite
Compound Details
| CAS | 121064-68-4 |
|---|---|
| Molecular Weight | 872.1 g/mol |
| Chemical Formula | C₄₈H₇₃NO₁₃ |
| IUPAC | (10E,14E,16E,22Z)-(1R,4S,5′S,6S,6′R,8R,12S,13S,20R,21R,24S)-6′-[(S)-sec-butyl]-21,24-dihydroxy-5′,11,13,22-tetramethyl-2-oxo-(3,7,19-trioxatetracyclo[15.6.1.14,8.020,24]pentacosa-10,14,16,22-tetraene)-6-spiro-2′-(5′,6′-dihydro-2′H-pyran)-12-yl |
| Synonyms | AB1 |
| SMILES | C/C([C@@H](O[C@]1(C[C@@H]([C@H]([C@@H](O1)C)O[C@]2(C[C@@H]([C@@H]([C@@H](O2)C)N)OC)[H])OC)[H])[C@H](/C=C/C=C3CO[C@]4([C@@]\3([C@@]([H])(C=C([C@H]4O)C)C(O[C@H](C[C@]5(O6)O[C@]([C@@]([H])(C)CC)([C@H](C=C5)C)[H])C7)=O)O)[H])C)=C\C[C@]76[H] |
| Purity | 95%+ |
| Storage Temperature | Below −18°C |
| Storage Conditions | Dry, freezer |
PRICE ON REQUEST
| Range (milligram) | Price ($/milligram) |
|---|---|
| 5 - 24 milligram | Price on Request |
| 25 - 99 milligram | Price on Request |
| 100 - 249 milligram | Price on Request |
| 250 - 1000 milligram | Price on Request |
Technical Support
Product information is from published literature. Due to the nature of scientific experimentation, results or specific product application may vary (e.g., selectivity, detector response). If you have questions about the product, its application, and associated analytics, please contact our technical support team.
Product Use Disclaimer
Products are sold as laboratory reference materials, to be used for diagnostic and in vivo testing. The samples are not certified for veterinary or human use.

















