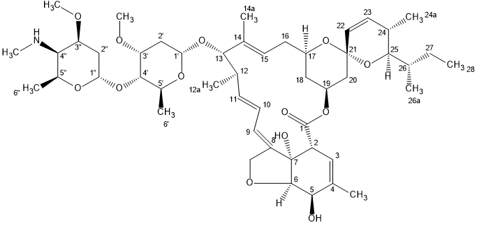
8,9-Z-Methylamino Avermectin b1a
CAS: N/A
CAT: 10080
Abstract
8,9 Z Methylamino Avermectin B1a, also known as 8,9 Z Emamectin B1a, is used in agrochemical residue analysis, method validation, and environmental fate research. The isomer forms when emamectin B1a undergoes UV driven conversion, making it essential for laboratories that monitor real world residue profiles.
Regulatory residue definitions often include emamectin B1a, B1b, and their 8,9 isomers, which increases the need for accurate quantification. A reliable 8,9 Z MAB1a reference standard supports compliance focused residue chemistry, stability studies, and multi residue method development across agricultural and environmental testing programs.
The compound retains the 16 membered macrocyclic lactone scaffold characteristic of avermectins. It originates from Streptomyces avermitilis fermentation followed by semi synthetic installation of the methylamino group. The 8,9 Z configuration appears as an isomerization product that laboratories track in soil, plant, and complex environmental matrices.
Emamectin related compounds act on glutamate gated chloride channels in invertebrates, increasing chloride influx and disrupting neurotransmission. This mode of action explains the neuromuscular paralysis seen in susceptible pests and supports the importance of monitoring emamectin isomers in environmental risk assessments.
Related emamectin and avermectin standards, impurities, and metabolites are available to support QC and comparability studies. View the related products here.
References
Withanoside IV and its active metabolite
Compound Details
| CAS | N/A |
|---|---|
| Molecular Weight | 886.1 g/mol |
| Chemical Formula | C₄₉H₇₅NO₁₃ |
| IUPAC | N/A |
| Synonyms | N/A |
| SMILES | N/A |
| Purity | 90%+ |
| Storage Temperature | Below −18°C |
| Storage Conditions | Dry, freezer |
PRICE ON REQUEST
| Range (milligram) | Price ($/milligram) |
|---|---|
| 5 - 24 milligram | Price on Request |
| 25 - 99 milligram | Price on Request |
| 100 - 249 milligram | Price on Request |
| 250 - 1000 milligram | Price on Request |
Technical Support
Product information is from published literature. Due to the nature of scientific experimentation, results or specific product application may vary (e.g., selectivity, detector response). If you have questions about the product, its application, and associated analytics, please contact our technical support team.
Product Use Disclaimer
Products are sold as laboratory reference materials, to be used for diagnostic and in vivo testing. The samples are not certified for veterinary or human use.

















